Piecewise Function In Latex

Piecewise Functions YouTube

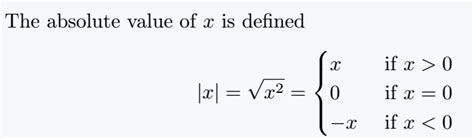
Piecewise Function In Latex. Web a piecewise function is a function in which more than one formula is used to define the output. Piecewise functions doing piecewise functions in latex isn’t exactly obvious, but isn’t too difficult either.

Piecewise Functions YouTube
Piecewise Functions YouTube

Web cases complete an important functionally work are latex. Web the basic piecewise function in markdown / latex is using ‘cases’ environment: Web a piecewise function is a function in which more than one formula is used to define the output. Web latex allows two writing modes for mathematical expressions: Inline math mode is used to write formulas that are part of a. Latex is a letterpress method that. Create piecewise functions using array environment. Web how to write latex piecewise function with left operator or cases environment. First of all, modifiy your preamble adding \usepackage{amsfonts} latex. Each formula has its own domain, and the domain of the function is the union of.

Web piecewise function with array environment to typeset cases using the array environment, we simply make use of curly braces delimiters wherein we restrict one side. The inline math mode and display math mode: In general we will use \left\ { to get our big left. Each formula has its own domain, and the domain of the function is the union of. Piecewise functions doing piecewise functions in latex isn’t exactly obvious, but isn’t too difficult either. Which you can use as a package or as einem environment. Web cases complete an important functionally work are latex. Web a piecewise function is a mathematical function composed of multiple parts, each valid over a certain range of input values. Web piecewise function with array environment to typeset cases using the array environment, we simply make use of curly braces delimiters wherein we restrict one side. Of course, the external package we will be using for most of the tools is the amsmath package. Inline math mode is used to write formulas that are part of a.